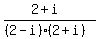
You can put this solution on YOUR website! reciprocal is
...
Simplify
denominator
(2-i)(2+i) = 4 - i^2
i^2 =
so, 4 - -1 = 5
...
.....................
Delighted to help.
-Reading Boosters
Website: www.MyHomeworkAnswers.com
Wanting for others what we want for ourselves.