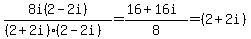
SOLUTION: Find the Quotient 8i/2+2i
Algebra
->
Complex Numbers Imaginary Numbers Solvers and Lesson
-> SOLUTION: Find the Quotient 8i/2+2i
Log On
Algebra: Complex Numbers
Section
Solvers
Solvers
Lessons
Lessons
Answers archive
Answers
Click here to see ALL problems on Complex Numbers
Question 670718
:
Find the Quotient
8i/2+2i
Answer by
ewatrrr(24785)
(
Show Source
):
You can
put this solution on YOUR website!
Hi,