SOLUTION: i need help with this problem. im not sure how to break it down. 3/(4+i)
Algebra
->
Complex Numbers Imaginary Numbers Solvers and Lesson
-> SOLUTION: i need help with this problem. im not sure how to break it down. 3/(4+i)
Log On
Algebra: Complex Numbers
Section
Solvers
Solvers
Lessons
Lessons
Answers archive
Answers
Click here to see ALL problems on Complex Numbers
Question 660995
:
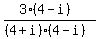
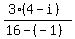
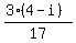
i need help with this problem. im not sure how to break it down.
3/(4+i)
Answer by
josmiceli(19441)
(
Show Source
):
You can
put this solution on YOUR website!