SOLUTION: (1st fraction) x^3+ 2x^2/x^3+64 divided by (2nd fraction)4x^2/x^2-4x+16 Thank you for your time!

Algebra ->  Complex Numbers Imaginary Numbers Solvers and Lesson -> SOLUTION: (1st fraction) x^3+ 2x^2/x^3+64 divided by (2nd fraction)4x^2/x^2-4x+16 Thank you for your time!       Log On


   



Question 57356: (1st fraction) x^3+ 2x^2/x^3+64 divided by (2nd fraction)4x^2/x^2-4x+16
Thank you for your time!

Answer by funmath(2933) About Me  (Show Source):
You can put this solution on YOUR website!
The formula for factoring the sum of perfect cubes is: u%5E3%2Bv%5E3=%28u%2Bv%29%28u%5E2-uv%2Bv%5E2%29. We'll need that to factor x%5E3%2B64, u=x and v=4
:
Let's get started.
:
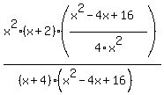
%28x%5E3%2B+2x%5E2%29%2F%28x%5E3%2B64%29 divided by 4x%5E2%2F%28x%5E2-4x%2B16%29 First flip and multiply:
%28%28x%5E3%2B2x%5E2%29%2F%28x%5E3%2B64%29%29%2A%28%28x%5E2-4x%2B16%29%2F4x%5E2%29 Factor everything.
x%5E2%28x%2B2%29%2F%28%28x%2B4%29%28x%5E2-4x%2B16%29%29%2A%28%28x%5E2-4x%2B16%29%2F4x%5E2%29 Cancel the things that match between the numerators and the denominators.

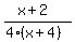
%28%28x%2B2%29%2F%28x%2B4%29%29%2A%281%2F4%29 Multiply what's left:
%28x%2B2%29%2F%284%28x%2B4%29%29 Most teachers let you stop here, but you can distribute the 4 and get:
%28x%2B2%29%2F%284x%2B16%29
Happy Calculating!!!