SOLUTION: (x-4) ______ (x/4)-(4/x) that line makes it a fraction. please simplify this complex fraction. thanks.

Algebra ->  Complex Numbers Imaginary Numbers Solvers and Lesson -> SOLUTION: (x-4) ______ (x/4)-(4/x) that line makes it a fraction. please simplify this complex fraction. thanks.      Log On


   



Question 56790: (x-4)
______
(x/4)-(4/x)
that line makes it a fraction. please simplify this complex fraction. thanks.

Found 3 solutions by Nate, funmath, checkley71:
Answer by Nate(3500) About Me  (Show Source):
Answer by funmath(2933) About Me  (Show Source):
You can put this solution on YOUR website!
%28x-4%29%2F%28%28x%2F4-4%2Fx%29%29 Multiply the numerator and denominator by the LCD of the whole complex fraction, 4x.
4x%28x-4%29%2F%284x%28x%2F4-4%2Fx%29%29
4x%28x-4%29%2F%284x%5E2%2F4-16x%2Fx%29
4x%28x-4%29%2F%28x%5E2-16%29 Factor the bottom:
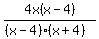
4x%28x-4%29%2F%28%28x%2B4%29%28x-4%29%29 Cancel the (x-4)'s
4x%2Across%28%28x-4%29%29%2F%28%28x%2B4%29%2Across%28%28x-4%29%29%29
highlight%284x%2F%28x%2B4%29%29
Happy Calculating!!!

Answer by checkley71(8403) About Me  (Show Source):
You can put this solution on YOUR website!
(X-4)/(X/4-4/X)
X-4/[(X^2-16)/(4X)]
X-4/[(X-4)(X+4)/(4X)]
(X-4)/(X-4)(X+4)*1/(4X)
1/(X+4)(4X)