SOLUTION: 9x^4-72x/3x^2-12 * x^2+x-2/4x^3+8x^2+16x

Algebra ->  Complex Numbers Imaginary Numbers Solvers and Lesson -> SOLUTION: 9x^4-72x/3x^2-12 * x^2+x-2/4x^3+8x^2+16x       Log On


   



Question 522004: 9x^4-72x/3x^2-12 * x^2+x-2/4x^3+8x^2+16x

Answer by mananth(16946) About Me  (Show Source):
You can put this solution on YOUR website!



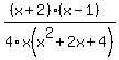
%289x%28x%5E3-8%29%29%2F%283x%28x-4%29%29%29*%28%28x%2B2%29%28x-1%29%29%2F4x%28x%5E2%2B2x%2B4%29

%289x%28x-2%29%28cross%28x%5E2%2B2x%2B4%29%29%29%2F%283x%28x-4%29%29%29*%28%28x%2B2%29%28x-1%29%29%2F4x%28cross%28x%5E2%2B2x%2B4%29%29
%283%28x-2%29%28x%2B2%29%28x-1%29%29%2F%284x%28x-4%29%29
m.ananth@hotmail.ca