SOLUTION: Solve in standard form (a + bi) (2+i)/i I first multiplied by i/i to get the following: 2i + i^2 = 2i - 1 = -1 + 2i which is standard form so I thought I was

Algebra ->  Complex Numbers Imaginary Numbers Solvers and Lesson -> SOLUTION: Solve in standard form (a + bi) (2+i)/i I first multiplied by i/i to get the following: 2i + i^2 = 2i - 1 = -1 + 2i which is standard form so I thought I was      Log On


   



Question 489811: Solve in standard form (a + bi)
(2+i)/i
I first multiplied by i/i to get the following:
2i + i^2
=
2i - 1
=
-1 + 2i which is standard form so I thought I was correct.
However, the student solution manual that I have shows to multiply by -i/-i instead of i/i which is what I did. When doing so they get opposite answer that I do of 1 - 2i. I'm wondering why that manual suggests the answer is 1 - 2i and why they used the negative i over i versus positive.
I really just need to know or understand how they arrived at using the negative.

Found 2 solutions by MathLover1, Edwin McCravy:
Answer by MathLover1(20850) About Me  (Show Source):
You can put this solution on YOUR website!

%282%2Bi%29%2Fi
=%282%2Bi%29%28-i%29%2Fi%28-i%29
=%28-2i-i%5E2%29%2F%28-i%5E2%29
=%28-2i-%28-1%29%29%2F%28-%28-1%29%29
=%28-2i%2B1%29%2F1
=-2i%2B1
or 1-2i

Answer by Edwin McCravy(20064) About Me  (Show Source):
You can put this solution on YOUR website!
It is perfectly OK to use i%2Fi.  You will get the same answer
if you do it correctly.  You just made a mistake.

The reason they tell you to use %28-i%29%2F%28-i%29 is because they
want ONE rule to work for all problems.

When you have 

%28A%2BBi%29%2F%28C%2BDi%29

They always tell you to multiply by the conjugate of the denominator
over itself:

%28C-Di%29%2F%28C-Di%29

You problem %282%2Bi%29%2Fi is really the same as %282%2Bi%29%2F%280%2Bi%29,
so to follow that rule you would multiply by %280-i%29%2F%280-i%29,
which is the same as %28-i%29%2F%28-i%29.

It would also work to use %28-C%2BDi%29%2F%28-C%2BDi%29 but they don't
want to tell you to multiply by the negative of the conjugate of
the denominator over itself.

Using i%2Fi

expr%28%282%2Bi%29%2Fi%29%2Aexpr%28i%2Fi%29

%28%282%2Bi%29i%29%2F%28i%2Ai%29

%282i%2Bi%5E2%29%2F%28i%5E2%29

Since i%5E2=-1,

%282i%2B%28-1%29%29%2F%28-1%29

Separate into two fractions: 

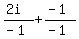
%282i%29%2F%28-1%29+%2B+%28-1%29%2F%28-1%29

-2i+%2B+1

1+-+2i

----------------------------------

Or you can use %28-i%29%2F%28-i%29

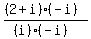
expr%28%282%2Bi%29%2Fi%29%2Aexpr%28%28-i%29%2F%28-i%29%29

%28%282%2Bi%29%28-i%29%29%2F%28%28i%29%28-i%29%29

%28-2i-i%5E2%29%2F%28-i%5E2%29

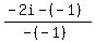
Since i%5E2=-1,

%28-2i-%28-1%29%29%2F%28-%28-1%29%29

%28-2i%2B1%29%2F1

-2i%2B1

1-2i


------------------------

Edwin