Question 484610: 4x + 7y + 5xy = 0 Solve for y.
I don't care about the _answer_ per se, I just need to know the steps in how to solve such a problem.
Thanks!
Answer by bucky(2189) (Show Source):
You can put this solution on YOUR website! Because you have two unknowns and only one equation, you cannot in general get a numerical solution for x and for y. (This is an important understanding.) The best you can do is to solve for one of the variables in terms of the other variable. In this problem you are asked to solve for y.
.
As in most algebraic solutions, a starting strategy is to isolate on one side of the equal sign the unknown variable that you are to solve for. So for this problem, since you are asked to solve for "y", get all the terms that contain "y" on one side of the equation and all the other terms on the other.
.

.
The term 4x does not contain a "y". Move it to the other side of the equal sign by subtracting 4x from both sides of the equation as follows:
.

.
and you are left with:
.

.
The two terms on the left side both contain y as a multiplier. Therefore, you can factor a "y" from each of these terms to get:
.

.
Now you can solve for "y" by dividing both sides by the multiplier of "y"s. That multiplier is the quantity (7 + 5x). Dividing both sides by this quantity results in:
.

.
which reduces to simply:
.

.
That's the answer. But a word of caution for this answer. Division by zero is not allowed in algebra. Therefore, the quantity (7 + 5x) cannot equal zero. In equation form this means:
.

.
is not permitted. Solve this for x by subtracting 7 from both sides:
.

.
and divide by both sides by the multiplier of x:
.

.
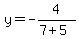
This tells you that "x" is not allowed to equal because if it does, you will have a division by zero. Other than that, this problem tells you that the solution for "y" depends on the value of "x". You can select a value for "x" and then compute the corresponding value of "y". As one example of this:
.
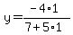
Suppose you select x = 1. Then the corresponding value of "y" can be determined as follows:
.

.
Substitute 1 for x and you have:
.

.
which reduces to:
.

.
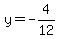
and this further simplifies to:
.

.
Then by dividing both the numerator and the denominator by 4 the fraction becomes:
.

.
This means that the coordinate or (x,y) point of (1,-1/3) is a solution of the problem and lies on the graph of the solution set for the equation that you were originally given in the problem.
.
Hope this helps you to see the general process for solving this problem as well as some other considerations in the answer.
|
|
|