Question 472189: can someone help me please? im really stuck
simplify each complex fraction.
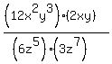
12x^2y^3/6z^5 over 3z^7/2xy
Answer by Theo(13342) (Show Source):
You can put this solution on YOUR website! your equation looks like this:

since (a/b) / (c/d) is equivalent to (a/b) * (d/c), your equation is equivalent to:

since (a/b) * (d/c) is equivalent to (a*d) / (b*c), then your equation is equivalent to:

By the laws of commutation, you can reorder the terms in a multiplication.
this means that a*d*g*b is equivalent to a*b*d*g.
your equation is therefore, equivalent to:

since a^b * a^c = a^(b+c), then your equation is equivalent to:

you can further simplify this to:

to confirm your answer is correct, simply replace x, y, and z with numbers and see if the original equation and the final equation give you the same answer.
i did that by making x = 2, y = 3, z = 4 and i was able to confirm that both the original equation and the final equation gave me the same answer.
|
|
|