SOLUTION: can someonnnneeeeeee help plsssss ;(? complex fractions. simplify each complex fraction. y-4/y over 1-2/y

Algebra ->  Complex Numbers Imaginary Numbers Solvers and Lesson -> SOLUTION: can someonnnneeeeeee help plsssss ;(? complex fractions. simplify each complex fraction. y-4/y over 1-2/y      Log On


   



Question 451817: can someonnnneeeeeee help plsssss ;(?
complex fractions.
simplify each complex fraction.
y-4/y over 1-2/y

Found 2 solutions by ewatrrr, josmiceli:
Answer by ewatrrr(24785) About Me  (Show Source):
You can put this solution on YOUR website!
 
Hi,
If I am umderstanding Your Question properly:
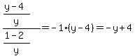
%28%28y-4%29%2Fy+%29%2F+%28%281-2%29%2Fy%29+=+-1%28y-4%29+=+-y+%2B+4+

Answer by josmiceli(19441) About Me  (Show Source):
You can put this solution on YOUR website!
+%28y+-+4%2Fy%29+%2F+%281+-+2%2Fy%29+
Multiply the top and bottom by +y+

+%28%28y+-+2%29%2A%28y+%2B+2%29%29+%2F+%28y+-+2%29+
Divide top and bottom by +y-2+
+y+%2B+2+ answer
----------------
One way to check answer is to pick any number for y,
like +y+=+11+
---------------------------------
+%28y+-+4%2Fy%29+%2F+%281+-+2%2Fy%29+
---------------------------------
+%2811+-+4%2F11%29+%2F+%281+-+2%2F11%29+
---------------------------------
+%28121%2F11+-+4%2F11%29+%2F+%2811%2F11+-+2%2F11%29+
---------------------------------
+%28117%2F11%29+%2F+%289%2F11%29+
---------------------------------
+117%2F9++=+13
and
+y+%2B+2+=+11+%2B+2+
---------------------------------
+11+%2B+2+=+13+
OK