SOLUTION: find the complex conjugate of (3+5i)/(1+2i)

Algebra ->  Complex Numbers Imaginary Numbers Solvers and Lesson -> SOLUTION: find the complex conjugate of (3+5i)/(1+2i)      Log On


   



Question 423785: find the complex conjugate of (3+5i)/(1+2i)
Answer by jsmallt9(3758) About Me  (Show Source):
You can put this solution on YOUR website!
%283%2B5i%29%2F%281%2B2i%29
The complex conjugate of the complex number a+bi is a-bi (or a + (-bi)). To find the complex conjugate of your expression we will start by writing it in a+bi form.

To write your expression in a+bi form, we will... rationalize its denominator!? Remember that i = sqrt%28-1%29 so your denominator, with its 2i, has a square root! So it needs to be rationalized just like denominators with "regular" square roots like the one in the expression: 2%2F%283-sqrt%287%29%29

To rationalize two-term denominators we take advantage of the %28a%2BB%29%28a-b%29+=+a%5E2+-+b%5E2 pattern. The pattern shows us how to take a two-term expression, a+b or a-b, multiply it by its conjugate and get an expression of perfect squares.

So to rationalize your denominator we multiply the numerator and denominator by the conjugate of its denominator:
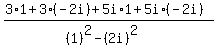
%28%283%2B5i%29%2F%281%2B2i%29%29%28%281-2i%29%2F%281-2i%29%29
We use FOIL to multiply the numerators. Although FOIL can also be used to multiply the denominators, it is faster to use the pattern:
%283%2A1%2B3%2A%28-2i%29%2B5i%2A1%2B5i%2A%28-2i%29%29%2F%28%281%29%5E2+-+%282i%29%5E2%29
which simplifies as follows:
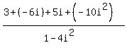
%283%2B%28-6i%29%2B5i%2B%28-10i%5E2%29%29%2F%281+-+4i%5E2%29
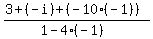
%283%2B%28-i%29%2B%28-10i%5E2%29%29%2F%281+-+4i%5E2%29
Since i%5E2+=+-1 this becomes:
%283%2B%28-i%29%2B%28-10%28-1%29%29%29%2F%281+-+4%28-1%29%29
which simplifies further:
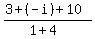
%283%2B%28-i%29%2B10%29%2F%281+%2B+4%29
%2813%2B%28-i%29%29%2F5
Writing this in standard (a+bi) form:
13%2F5%2B%28-i%29%2F5
or
13%2F5%2B%28%28-1%29%2F5%29i
This is your original expression in standard form.

Its conjugate would be: 13%2F5%2B%281%2F5%29i