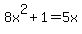
SOLUTION: solve the equation in the complex number system 8x^2+1=5x

Algebra ->  Complex Numbers Imaginary Numbers Solvers and Lesson -> SOLUTION: solve the equation in the complex number system 8x^2+1=5x       Log On


   



Question 422835: solve the equation in the complex number system
8x^2+1=5x


Answer by jsmallt9(3758) About Me  (Show Source):
You can put this solution on YOUR website!
8x%5E2%2B1+=+5x
This is a quadratic equation so we want one side to be zero. Subtracting 5x from each side we get:
8x%5E2-5x%2B1+=+0
This won't factor so we'll use the Quadratic Formula:
x+=+%28-%28-5%29+%2B-+sqrt%28+%28-5%29%5E2+-4%288%29%281%29%29%29%2F2%288%29
which simplifies as follows:
x+=+%28-%28-5%29+%2B-+sqrt%28+25+-4%288%29%281%29%29%29%2F2%288%29
x+=+%28-%28-5%29+%2B-+sqrt%28+25+-+32%29%29%2F2%288%29
x+=+%28-%28-5%29+%2B-+sqrt%28-7%29%29%2F2%288%29
x+=+%285+%2B-+sqrt%28-7%29%29%2F16
With a negative number in the square root, we have complex solutions. To write our answers in standard form for complex numbers, a + bi, we start by factoring out -1:
x+=+%285+%2B-+sqrt%28-1%2A7%29%29%2F16
x+=+%285+%2B-+sqrt%28-1%29%2Asqrt%287%29%29%2F16
Since sqrt%28-1%29+=+i this becomes:
x+=+%285+%2B-+i%2Asqrt%287%29%29%2F16
Now write the out the long way:
x+=+%285+%2B+i%2Asqrt%287%29%29%2F16 or x+=+%285+-+i%2Asqrt%287%29%29%2F16
Now we split the fractions:
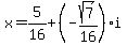
x+=+5%2F16+%2B+%28i%2Asqrt%287%29%29%2F16 or x+=+5%2F16+%2B+%28-i%2Asqrt%287%29%29%2F16
which can be written as:
x+=+5%2F16+%2B+%28sqrt%287%29%2F16%29i or x+=+5%2F16+%2B+%28-sqrt%287%29%2F16%29i
These are the complex solutions written in standard form.