SOLUTION: 1)how to Find the complex conjugate of (3+5i)/(1+2i) 2)how to Find all the seventh roots of (3+4i).

Algebra ->  Complex Numbers Imaginary Numbers Solvers and Lesson -> SOLUTION: 1)how to Find the complex conjugate of (3+5i)/(1+2i) 2)how to Find all the seventh roots of (3+4i).       Log On


   



Question 408067: 1)how to Find the complex conjugate of (3+5i)/(1+2i)
2)how to Find all the seventh roots of (3+4i).

Found 2 solutions by solver91311, robertb:
Answer by solver91311(24713) About Me  (Show Source):
You can put this solution on YOUR website!


One question per post, please.

I presume you mean find the complex conjugate of the denominator so that you can rationalize. The conjugate of a complex fraction doesn't make any sense.

The conjugate of a complex number is

In order to rationalize your denominator, you need to multiply your fraction by 1 in the form of the conjugate of the denominator divided by itself. Remember the product of two conjugates is the difference of two squares and that

John

My calculator said it, I believe it, that settles it
The Out Campaign: Scarlet Letter of Atheism


Answer by robertb(5830) About Me  (Show Source):
You can put this solution on YOUR website!
1)
==> the complex conjugate is %2813+%2B+i%29%2F5.
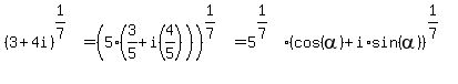
2) , letting
cos%28alpha%29+=+3%2F5 and sin%28alpha%29+=+4%2F5.
==> ,
using de Moivre's theorem.
All roots will be obtained when you let n = 0,1,2,3,4,5,6.
alpha is obtained as arctan(4/3), or tan%5E%28-1%29+%284%2F3%29.