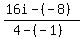
SOLUTION: I have the problem that I cannot figure out. It was in a practice plus section of my textbook and there is not an example for the problem so I am STUCK.
It has the problem..
Question 405500: I have the problem that I cannot figure out. It was in a practice plus section of my textbook and there is not an example for the problem so I am STUCK.
It has the problem..
8
------
1+ 2/i Answer by nerdybill(7384) (Show Source):