SOLUTION: If i=sqrt(-1), what is the value of i^4? Any help is greatly appreciated!

Algebra ->  Complex Numbers Imaginary Numbers Solvers and Lesson -> SOLUTION: If i=sqrt(-1), what is the value of i^4? Any help is greatly appreciated!      Log On


   



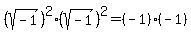
Question 395846: If i=sqrt(-1), what is the value of i^4?
Any help is greatly appreciated!

Answer by Earlsdon(6294) About Me  (Show Source):
You can put this solution on YOUR website!
i%5E4+=+%28sqrt%28-1%29%29%5E4=%28sqrt%28-1%29%29%5E2%2A%28sqrt%28-1%29%29%5E2+=+%28-1%29%2A%28-1%29=1
Remember: %28sqrt%28x%29%29%5E2+=+x