SOLUTION: Choose the correct quadrant to use in this conversion from standard to trigonometric form:
1) 6-11i
I am having a very difficult time understanding this question. Any help is
Question 394201: Choose the correct quadrant to use in this conversion from standard to trigonometric form:
1) 6-11i
I am having a very difficult time understanding this question. Any help is greatly appreciated. Found 2 solutions by josmiceli, Edwin McCravy:Answer by josmiceli(19441) (Show Source):
You can put this solution on YOUR website! (6- 11i) is a point in the complex plane. The real part, 6
is plotted on the horizontal axis, and the imaginary part, -11i,
is plotted on the vertical axis.
If you were to draw the axes, measure 6 units to the right and
11 units down (since it's negative), then you have plotted a point
in the 4th quadrant.
----------------------
In order to express this in trig form, you need an amplitude
and an angle
The angle is a positive angle that is 270 degrees (3 quadrants) +
the angle whose tangent is 6/11.
tan^-1(.5454) = 28.61 degrees
270 + 28.61 = 298.61 degrees
The amplitude is
So this is a line 12.53 units from the origin at an angle of 298.61 degrees
in the + direction (counterclockwise)
6-11i
Rule:
A + Bi is represented by the line segment that goes from the origin to
the point (A,B). It has length r.
So,
6 - 11i is represented by the line segment that goes from the origin to
the point (6,-11)
So we draw that line segment and label it r in length:
Next we'll indicate the angle q starting
at the right hand of the x-axis going around counter-clockwise
to the line we just drew. I'll indicate q with
a red arc:
Next we draw a line from that point perpendicular to the x-axis.
I'll draw it in green:
That makes a right triangle, so we label the horizontal leg
as the x value of the point. That is, x = 6. We label the
vertical leg the y -value of the point. That is y = -11
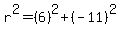
Next we calculate the value of r using the Pythagorean theorem:
So we label the r as r =
Next we calculate q
by first calculating the tangent of the reference angle,
and then placing it in the 4th quadrant.
Use the inverse tangent function on the calculator to find
the inverse tangent of to get the reference angle:
reference angle = 61.38954033°
To get q in the 4th quadrant subtract
the reference angle from 360° and get
q = 298.6° rounded to the nearest
tenth of a degree.
So we label q = 298.6°
Now the trigonometric form is
r(cosq + i·sinq)
and upon substituting, the final answer is
(cos298.6° + i·sin298.6°)
Edwin