SOLUTION: Solve by completing the square 15x2-14x-8=0
Algebra
->
Complex Numbers Imaginary Numbers Solvers and Lesson
-> SOLUTION: Solve by completing the square 15x2-14x-8=0
Log On
Algebra: Complex Numbers
Section
Solvers
Solvers
Lessons
Lessons
Answers archive
Answers
Click here to see ALL problems on Complex Numbers
Question 356769
:
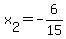
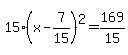
Solve by completing the square
15x2-14x-8=0
Answer by
Fombitz(32388)
(
Show Source
):
You can
put this solution on YOUR website!
and
and