SOLUTION: please help me simplify this: (1 + 5i)^-1 thanks, i really appreciate your help

Algebra ->  Complex Numbers Imaginary Numbers Solvers and Lesson -> SOLUTION: please help me simplify this: (1 + 5i)^-1 thanks, i really appreciate your help      Log On


   



Question 35306: please help me simplify this:
(1 + 5i)^-1
thanks, i really appreciate your help

Answer by longjonsilver(2297) About Me  (Show Source):
You can put this solution on YOUR website!
+%281+%2B+5i%29%5E-1+ is +1%2F%281%2B5i%29+ which is OK as an answer in itself. However, we tend to keep any imaginary parts off the denominator, so:

+%281%2F%281%2B5i%29%29%2A%28%281-5i%29%2F%281-5i%29%29+
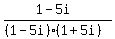
+%281-5i%29%2F%28%281-5i%29%281%2B5i%29%29+
+%281-5i%29%2F%281%2B5i-5i-25i%5E2%29+
+%281-5i%29%2F%281-25%28-1%29%29+
+%281-5i%29%2F%281%2B25%29+
+%281-5i%29%2F%2826%29+

jon.