SOLUTION: Thank you to ankor@dixie-net.com(8672) for answering my question on 2+√3 x = x/3 My problems lies is the (x) part of √3 or is √3 * x. The answer in the

Algebra ->  Complex Numbers Imaginary Numbers Solvers and Lesson -> SOLUTION: Thank you to ankor@dixie-net.com(8672) for answering my question on 2+√3 x = x/3 My problems lies is the (x) part of √3 or is √3 * x. The answer in the      Log On


   



Question 331575: Thank you to ankor@dixie-net.com(8672) for answering my question on
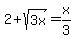
2+√3 x = x/3
My problems lies is the (x) part of √3 or is √3 * x.
The answer in the book I am using leaves it in surd form (f - √3) I think the (f)is a mis-print but all the answers have to be left in surd form.
Any Further help would be gratefully received.
John

Answer by Edwin McCravy(20067) About Me  (Show Source):
You can put this solution on YOUR website!

I can't tell if the x is under the radical or not, so I'll do it
both ways:

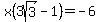
2%2Bsqrt%283%29%2Ax+=+x%2F3

6%2B3sqrt%283%29x=x

3sqrt%283%29x+-+x=-6

x%283sqrt%283%29-1%29=-6

x=-6%2F%283sqrt%283%29-1%29%28%283sqrt%283%29%2B1%29%29%2F%28%283sqrt%283%29%2B1%29%29

Rationalize the denominator:

x=%28-6%2F%283sqrt%283%29-1%29%29%22%22%2A%22%22%28%283sqrt%283%29%2B1%29%29%2F%28%283sqrt%283%29%2B1%29%29

x=++++%28++-6%283sqrt%283%29%2B1%29++%29%2F%289%2A3-1%29++

x=%28-6%283sqrt%283%29%2B1%29%29%2F%2827-1%29

x=%28-6%283sqrt%283%29%2B1%29%29%2F26

x=%28-3%283sqrt%283%29%2B1%29%29%2F13



--------------------------
Assuming the x is under the radical:

2%2Bsqrt%283x%29+=+x%2F3

6%2B3sqrt%283x%29=x

3sqrt%283x%29=x-6

9%283x%29=x%5E2-12x%2B36

27x=x%5E2-12x%2B36

0=x%5E2-39x%2B36

x+=+%28-b+%2B-+sqrt%28+b%5E2-4%2Aa%2Ac+%29%29%2F%282%2Aa%29+

x+=+%28-%28-39%29+%2B-+sqrt%28+%28-39%29%5E2-4%2A1%2A36+%29%29%2F%282%2A1%29+

x+=+%2839+%2B-+sqrt%28+1521-144+%29%29%2F2+

x+=+%2839+%2B-+sqrt%281377%29%29%2F2+

x+=+%2839+%2B-+sqrt%2881%2A17%29%29%2F2+

x+=+%2839+%2B-+9sqrt%2817%29%29%2F2+

x+=+%283%2813+%2B-+3sqrt%2817%29%29%29%2F2+

Edwin