SOLUTION: Here is another one! 12/x+h+15 - 12/x+15 divided by h
Algebra
->
Complex Numbers Imaginary Numbers Solvers and Lesson
-> SOLUTION: Here is another one! 12/x+h+15 - 12/x+15 divided by h
Log On
Algebra: Complex Numbers
Section
Solvers
Solvers
Lessons
Lessons
Answers archive
Answers
Click here to see ALL problems on Complex Numbers
Question 243609
:
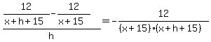
Here is another one!
12/x+h+15 - 12/x+15 divided by h
Answer by
jim_thompson5910(35256)
(
Show Source
):
You can
put this solution on YOUR website!
Start with the given expression.
Multiply the first upper fraction by
to get that denominator equal to the LCD.
Multiply the second upper fraction by
to get that denominator equal to the LCD.
Combine the upper fractions.
Distribute
Combine like terms.
Multiply the upper fraction by the reciprocal of the lower fraction.
Highlight the common terms.
Cancel out the common terms.
Simplify.
So