SOLUTION: 17i divided by (4-1) = 17i over 4-i This I understand - partially anyway...but I am being told that my answer must be in the A + Bi form...this I do not understand

Algebra ->  Complex Numbers Imaginary Numbers Solvers and Lesson -> SOLUTION: 17i divided by (4-1) = 17i over 4-i This I understand - partially anyway...but I am being told that my answer must be in the A + Bi form...this I do not understand      Log On


   



Question 19988: 17i divided by (4-1) = 17i over 4-i This I understand - partially anyway...but I am being told that my answer must be in the A + Bi form...this I do not understand
Answer by Earlsdon(6294) About Me  (Show Source):
You can put this solution on YOUR website!
Seems like you have missed the point of this problem.
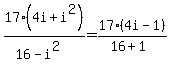
17i%2F%284-i%29+=+%2817i%29%284%2Bi%29%2F%284-i%29%284%2Bi%29 = 17%284i%2Bi%5E2%29%2F%2816-i%5E2%29%29
Recall that: i%5E2+=+-1, so:
17%284i%2Bi%5E2%29%2F%2816-i%5E2%29+=+17%284i-1%29%2F%2816%2B1%29 = 17%284i-1%29%2F17 = %284i-1%29 = -1-4i
Compare this: -1-4i with A+Bi
A = -1, the real part of the complex number.
Bi = -4i, the imaginary part of the complex number.