SOLUTION: The Equation {{{9x^2-18x+4y^2+8y=23}}} defines an ellipse with center (____, ___). The major axis has length ___ and the minor axis has length ____.
Question 19417: The Equation defines an ellipse with center (____, ___). The major axis has length ___ and the minor axis has length ____. Answer by Earlsdon(6294) (Show Source):
You can put this solution on YOUR website! You will need to get your equation into the standard form for an ellipse:
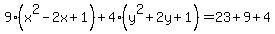
You can do this by completing the square in the x-terms and the y-terms. Start by groupng the x-terms together and grouping the y-terms together.
Now,factor a 9 from the x-group and factor a 4 from the y-group. Complete the square in the x-terms within the parentheses by adding the square of half the x-coefficient to both sides of the equation, and do the same for the y-terms. Now divide both sides by 36. Factor the denominators.
This is the standard form of the equation for an ellipse with the center at (1, -1) and major axis is parallel to the y-axis. The length of the major axis is 3 and the length of the minor axis is 2