SOLUTION: F(x)=x/(x+1)then f(x-1)=
Algebra
->
Complex Numbers Imaginary Numbers Solvers and Lesson
-> SOLUTION: F(x)=x/(x+1)then f(x-1)=
Log On
Algebra: Complex Numbers
Section
Solvers
Solvers
Lessons
Lessons
Answers archive
Answers
Click here to see ALL problems on Complex Numbers
Question 19406
:
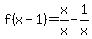
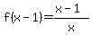
F(x)=x/(x+1)then
f(x-1)=
Answer by
rahman(247)
(
Show Source
):
You can
put this solution on YOUR website!
then