SOLUTION: The complex number 13 + i can be factored into the product of 1 + 2i and what other complex number?

Algebra ->  Complex Numbers Imaginary Numbers Solvers and Lesson -> SOLUTION: The complex number 13 + i can be factored into the product of 1 + 2i and what other complex number?      Log On


   



Question 192058: The complex number 13 + i can be factored into the product of 1 + 2i and what other complex number?
Answer by jim_thompson5910(35256) About Me  (Show Source):
You can put this solution on YOUR website!
Since 13 + i can be factored where one factor is 1%2B2i, this means that

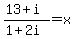
13+%2B+i=%281%2B2i%29%2Ax where "x" is the other factor


13+%2B+i=%281%2B2i%29%2Ax Start with the given equation.


%2813+%2B+i%29%2F%281%2B2i%29=x Divide both sides by 1%2B2i


x=%2813+%2B+i%29%2F%281%2B2i%29 Rearrange the equation


So the other factor is %2813+%2B+i%29%2F%281%2B2i%29. Let's simplify %2813+%2B+i%29%2F%281%2B2i%29

-----------------------------------------------------

%2813%2Bi%29%2F%281%2B2i%29 Start with the given expression.


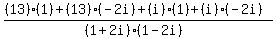
%28%2813%2Bi%29%2F%281%2B2i%29%29%28%281-2i%29%2F%281-2i%29%29 Multiply the fraction by %281-2i%29%2F%281-2i%29.


%28%2813%2Bi%29%281-2i%29%29%2F%28%281%2B2i%29%281-2i%29%29 Combine the fractions.


FOIL the numerator.


FOIL the denominator.


%2813-26i%2Bi-2i%5E2%29%2F%281-2i%2B2i-4i%5E2%29 Multiply.


%2815-25i%29%2F%285%29 Combine like terms.


%2815%29%2F%285%29%2B%28%28-25%29%2F%285%29%29i Break up the fraction.


3-5i Reduce.


So %2813%2Bi%29%2F%281%2B2i%29=3-5i.


---------------------------------------------------------

Since x=%2813%2Bi%29%2F%281%2B2i%29, this means that x=3-5i



So the other factor is 3-5i



So this means that 13%2Bi=%281%2B2i%29%283-5i%29



Note: you can check this by multiplying the given factor 1%2B2i by 3-5i to get 13%2Bi