SOLUTION: I'm not quite sure how to simplify the expression 4 over 2+5i (4/2+5i) and I'm not quite sure what i to the -35th power means.

Algebra ->  Complex Numbers Imaginary Numbers Solvers and Lesson -> SOLUTION: I'm not quite sure how to simplify the expression 4 over 2+5i (4/2+5i) and I'm not quite sure what i to the -35th power means.      Log On


   



Question 147558: I'm not quite sure how to simplify the expression 4 over 2+5i (4/2+5i) and I'm not quite sure what i to the -35th power means.
Found 3 solutions by jim_thompson5910, stanbon, Nate:
Answer by jim_thompson5910(35256) About Me  (Show Source):
You can put this solution on YOUR website!
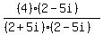
%284%29%2F%282%2B5i%29 Start with the given expression.


%28%284%29%2F%282%2B5i%29%29%28%282-5i%29%2F%282-5i%29%29 Multiply both numerator and denominator by the complex conjugate of 2%2B5i


%28%284%29%282-5i%29%29%2F%28%282%2B5i%29%282-5i%29%29 Combine the fractions


%28%284%29%282-5i%29%29%2F%2829%29 Foil the denominator to get %282%2B5i%29%282-5i%29=4-10i%2B10i-25i%5E2=4-25%28-1%29=29


%288-20i%29%2F%2829%29 Distribute


So %284%29%2F%282%2B5i%29=%288-20i%29%2F%2829%29


------------------------------


i%5E%28-35%29 Start with the given expression.


1%2Fi%5E%2835%29 Flip the fraction to make the exponent positive.

Now let's find evaluate i%5E%2835%29:

First take the exponent 35 and divide by 4.
When it leaves a remainder of 0, the answer is 1.
When it leaves a remainder of 1, the answer is sqrt%28-1%29=i.
When it leaves a remainder of 2, the answer is -1.
When it leaves a remainder of 3, the answer is -sqrt%28-1%29=-i.


Since 35%2F4 leaves a remainder of 3, this means the answer is -i.


So i%5E35=-i


So this means that


1%2Fi%5E%2835%29=1%2F%28-i%29




1%2F%28-i%29 Start with the given expression.



%281%2F%28-i%29%29%28i%2Fi%29 Multiply both numerator and denominator by "i"


%281%2Ai%29%2F%28%28-i%29%28i%29%29 Combine the fractions.


%281%2Ai%29%2F%28-i%5E2%29 Multiply i and i to get i%5E2


%281%2Ai%29%2F%28-%28-1%29%29 Replace i%5E2 with -1. Remember i%5E2=-1


%28i%29%2F%281%29 Multiply


i Simplify


So i%5E%28-35%29=i

Answer by stanbon(75887) About Me  (Show Source):
You can put this solution on YOUR website!
I'm not quite sure how to simplify the expression 4 over 2+5i (4/2+5i) and I'm not quite sure what i to the -35th power means.
----------------------------
4/(2+5i)
----
Multiply numerator and denominator by (2-5i) to get:
[4(2-5i)]/[4+25]
= (8-20i)/29
-----------------
i^(-35)
Applying the -1 exponent you get:
(i^3)^35
Applying the 35 exponent you get:
= i^105
= i^(104+1)
= i^(104) * i^1
= 1 * i^1
= i
=============
Cheers,
Stan H.

Answer by Nate(3500) About Me  (Show Source):
You can put this solution on YOUR website!
i^(-35)
1/i^35
1/( i * i^34 ) ~ you want an even power
1/( i * (i^2)^17 ) ~ now, you want an exponent of 2
1/( i * (-1)^17 ) ~ i^2 = -1
-1 / i ~ (-1)^17 = -1
..
4 / (2 + 5i)
4(2 - 5i) / (2 + 5i)(2 - 5i) ~ multiply the num. and dem. by the conjugate