SOLUTION: Multipy or divide as indicated. Simplify completely. (48x+48 / 10x-4)(40x-16 / 12x^2-12) In other words, 48x+48 over 10x-4 multiplied by 40x-16 over 12x^2-12

Algebra ->  Complex Numbers Imaginary Numbers Solvers and Lesson -> SOLUTION: Multipy or divide as indicated. Simplify completely. (48x+48 / 10x-4)(40x-16 / 12x^2-12) In other words, 48x+48 over 10x-4 multiplied by 40x-16 over 12x^2-12      Log On


   



Question 144510: Multipy or divide as indicated. Simplify completely.
(48x+48 / 10x-4)(40x-16 / 12x^2-12)
In other words, 48x+48 over 10x-4 multiplied by 40x-16 over 12x^2-12

Answer by ankor@dixie-net.com(22740) About Me  (Show Source):
You can put this solution on YOUR website!
%2848x%2B48%29%2F%2810x-4%29 * %2840x-16%29%2F%2812x%5E2-12%29
:
we can do some major factoring here:
%2848%28x%2B1%29%29%2F%282%285x-2%29%29 * %288%285x-2%29%29%2F%2812%28x%5E2-1%29%29
:
Note that (x^2-1) can be factored as the "difference of squares"
%2848%28x%2B1%29%29%2F%282%285x-2%29%29 * %288%285x-2%29%29%2F%2812%28x-1%29%28x%2B1%29%29
;
Cancel the numbers first and you have:
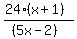
%2824%28x%2B1%29%29%2F%28%285x-2%29%29 * %282%285x-2%29%29%2F%283%28x-1%29%28x%2B1%29%29
then 3 into 24
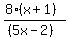
%288%28x%2B1%29%29%2F%28%285x-2%29%29 * %282%285x-2%29%29%2F%28%28x-1%29%28x%2B1%29%29
:
Cancel (x+1) and (5x-2)
8 * 2%2F%28%28x-1%29%29 = 16%2F%28x-1%29
:
How about this? did it make sense to you? any questions?