SOLUTION: 1-i/1+i*2+i/1+i

Algebra ->  Complex Numbers Imaginary Numbers Solvers and Lesson -> SOLUTION: 1-i/1+i*2+i/1+i      Log On


   



Question 132965This question is from textbook
: 1-i/1+i*2+i/1+i This question is from textbook

Found 2 solutions by vleith, jim_thompson5910:
Answer by vleith(2983) About Me  (Show Source):
You can put this solution on YOUR website!
1-i%2F1%2Bi%2A2%2Bi%2F1%2Bi
i/1 = i
-i/i = -i
Thus we get 1+-i+%2Bi%2A2+%2Bi+%2B+i
Yielding 1+-i+%2B2i+%2B+i
Collecting like term yields 1+%2B+2i
If, by chance you meant to write i%5E2 instead of i%2A2 then just do the same steps but substitute -1 for i%5E2

Answer by jim_thompson5910(35256) About Me  (Show Source):
You can put this solution on YOUR website!
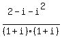
%28%281-i%29%2F%281%2Bi%29%29%2A%28%282%2Bi%29%2F%281%2Bi%29%29 Start with the given expression


%281-i%29%282%2Bi%29%2F%281%2Bi%29%281%2Bi%29 Combine the fractions


%282%2Bi-2i-i%5E2%29%2F%281%2Bi%29%281%2Bi%29 Foil the numerator


%282-i-i%5E2%29%2F%281%2Bi%29%281%2Bi%29 Combine like terms


%282-i-%28-1%29%29%2F%281%2Bi%29%281%2Bi%29 Replace i%5E2 with -1


%283-i%29%2F%281%2Bi%29%281%2Bi%29 Combine like terms


%283-i%29%2F%281%2Bi%2Bi%2Bi%5E2%29 Foil the denominator


%283-i%29%2F%281%2B2i%2Bi%5E2%29 Combine like terms


%283-i%29%2F%281%2B2i%2B%28-1%29%29 Replace i%5E2 with -1


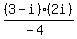
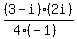
%283-i%29%2F%282i%29 Combine like terms


%28%283-i%29%2F%282i%29%29%28%282i%29%2F%282i%29%29 Multiply the fraction by %282i%29%2F%282i%29


%283-i%29%282i%29%2F%282i%29%282i%29 Multiply the fractions


%283-i%29%282i%29%2F%284i%5E2%29 2i and 2i to get 4i%5E2


%283-i%29%282i%29%2F%284%28-1%29%29 Replace i%5E2 with -1


%283-i%29%282i%29%2F%28-4%29 Multiply


%286i-2i%5E2%29%2F%28-4%29 Distribute


%286i-2%28-1%29%29%2F%28-4%29 Replace i%5E2 with -1


%286i%2B2%29%2F%28-4%29 Multiply


%282%2B6i%29%2F%28-4%29 Rearrange the terms


%282%29%2F%28-4%29%2B%286i%29%2F%28-4%29 Break up the fraction


-1%2F2-%283%2F2%29i Reduce


----------------------------------------------------

Answer:


So %28%281-i%29%2F%281%2Bi%29%29%2A%28%282%2Bi%29%2F%281%2Bi%29%29 simplifies to -1%2F2-%283%2F2%29i


In other words, %28%281-i%29%2F%281%2Bi%29%29%2A%28%282%2Bi%29%2F%281%2Bi%29%29=-1%2F2-%283%2F2%29i