SOLUTION: Find a complex number $z$ such that the real part and imaginary part of $z$ are both integers, and such that z^2 + 2z = -53 + 8i.

Algebra ->  Complex Numbers Imaginary Numbers Solvers and Lesson -> SOLUTION: Find a complex number $z$ such that the real part and imaginary part of $z$ are both integers, and such that z^2 + 2z = -53 + 8i.       Log On


   



Question 1209627: Find a complex number $z$ such that the real part and imaginary part of $z$ are both integers, and such that
z^2 + 2z = -53 + 8i.

Answer by mccravyedwin(408) About Me  (Show Source):
You can put this solution on YOUR website!

z%5E2+%2B+2z+=+-53+%2B+8i

Let z = p + qi where p and q are integers.

%28p%2Bqi%29%5E2+%2B+2%28p%2Bqi%29+=+-53+%2B+8i

p%5E2%2B2pqi%2Bq%5E2i%5E2%2B2p%2B2qi=-53%2B8i

p%5E2%2B2pqi%2Bq%5E2%28-1%29%2B2p%2B2qi=-53%2B8i

p%5E2%2B2pqi-q%5E2%2B2p%2B2qi=-53%2B8i

Set the real parts equal on both sides and set
the imaginary parts on both sides equal

system%28p%5E2-q%5E2%2B2p=-53%2C2pqi%2B2qi=8i%29

Divide the second equation through by 2i

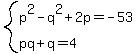
system%28p%5E2-q%5E2%2B2p=-53%2Cpq%2Bq=4%29

Solve the second equation for q

pq%2Bq=4
q%28p%2B1%29=4
q=4%2F%28p%2B1%29

Substitute in

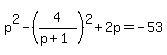
p%5E2-q%5E2%2B2p=-53
p%5E2-%284%2F%28p%2B1%29%29%5E2%2B2p=-53

By technology, there are two solutions, neither one integers

p = -0.446924168, which gives q = 7.232281305

and

p = -1.553075832, which gives q = -7.232281305

So, there are no such integer solutions, unless somebody can 
find a mistake that I've made.

Edwin