SOLUTION: The sum of all integral values of x for which (18(x^2 - 7x + 10)/x^3 - 6x^2 + 3x + 10) has an integral value is A) -17 B) -19 C) -12 D) -14 E) -20

Algebra ->  Complex Numbers Imaginary Numbers Solvers and Lesson -> SOLUTION: The sum of all integral values of x for which (18(x^2 - 7x + 10)/x^3 - 6x^2 + 3x + 10) has an integral value is A) -17 B) -19 C) -12 D) -14 E) -20      Log On


   



Question 1189444: The sum of all integral values of x for which (18(x^2 - 7x + 10)/x^3 - 6x^2 + 3x + 10) has an integral value is
A) -17
B) -19
C) -12
D) -14
E) -20

Answer by greenestamps(13200) About Me  (Show Source):
You can put this solution on YOUR website!


Your parentheses are in the wrong places.

But at least, unlike a large number of people who submit questions to this forum, you TRIED to use parentheses....

Here is the expression you posted: (18(x^2 - 7x + 10)/x^3 - 6x^2 + 3x + 10) = %2818%28x%5E2+-+7x+%2B+10%29%2Fx%5E3+-+6x%5E2+%2B+3x+%2B+10%29

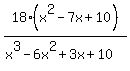
Undoubtedly the expression you intended to show is this: 18(x^2 - 7x + 10)/(x^3 - 6x^2 + 3x + 10) = 18%28x%5E2+-+7x+%2B+10%29%2F%28x%5E3+-+6x%5E2+%2B+3x+%2B+10%29

Factor the numerator and denominator and try to simplify the expression.

The numerator factors easily....

18%28%28x-5%29%28x-2%29%29%2F%28x%5E3+-+6x%5E2+%2B+3x+%2B+10%29

There are many formal ways to factor the cubic polynomial in the denominator. However, since we are hoping the expression will simplify, let's check specifically to see if (x-5) and/or (x-2) are factors of the denominator.

In fact they are both factors; the expression simplifies to

18%28%28x-5%29%28x-2%29%29%2F%28%28x-5%29%28x-2%29%28x%2B1%29%29

The function is undefined for values that make the denominator 0: 5, 2, and -1.

In this problem, we are not concerned with where the function is undefined; we are interested in the values of x that make the expression have an integer value. So we can cancel the common factors in the numerator and denominator to simplify the expression to

18%2F%28x%2B1%29

That expression will have an integer value whenever (x+1) is a (positive or negative) factor of 18. We can simply make a list:
   x+1  x
  --------
    18  17
     9   8
     6   5
     3   2
     2   1
     1   0
    -1  -2
    -2  -3
    -3  -4
    -6  -7
    -9 -10
   -18 -19

Adding the values of x in the second column gives us a total of -12.

ANSWER: C) -12