prove by mathematical induction:
1^5 + 2^5 + 3^5 + ... + n^5 = (1/12)n^2(n+1)^2(2n^2 + 2n -1)
--------
Base case:
= 1
=
= 1
Base case holds.
Hypothesis:
Assume
+ ... +
=
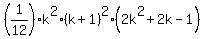
for n=k. (*)
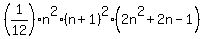
Step case: Let n=k+1
[
+ ... +
] +
... use hypothesis on terms within [ ] ...
=
+
... this reduces to (you can factor
then use a factoring website for the rest) ... (see NOTE)
=
The proof is complete here, but it is not obvious, so
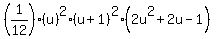
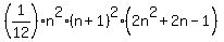
let u=k+1 --> k=u-1
= 
=
Proof complete
NOTE: I admit, there may be an easier path here. If other tutors (or the student) wish to find it, more power to them. I gave the general idea...
If this helps the student, thanks are appreciated.