SOLUTION: I don't understand inverse functions: f(x)= 2-4x/1-5x I can't even begin to work this one! Thanks for your time!

Algebra ->  Complex Numbers Imaginary Numbers Solvers and Lesson -> SOLUTION: I don't understand inverse functions: f(x)= 2-4x/1-5x I can't even begin to work this one! Thanks for your time!       Log On


   



Question 11800: I don't understand inverse functions:

f(x)= 2-4x/1-5x

I can't even begin to work this one!
Thanks for your time!

Answer by rapaljer(4671) About Me  (Show Source):
You can put this solution on YOUR website!
I'm assuming that you mean f%28x%29+=+%282-4x%29%2F%281-5x%29+???

If so, start with y+=+%282-4x%29%2F%281-5x%29+

The inverse function can be obtained by two steps:
Step 1: Interchange the x and the y.
Step 2: Solve for y. The y that you solve for is actually the inverse function. Of course, step 2 will probably take several steps to accomplish.

Step 1: Interchange the x and y. Change the x's into y's and the y to x: x+=+%282-4y%29%2F%281-5y%29+

Step 2: Solve for y. To get started on this, multiply both sides by the common denominator, which is 1-5y.
%281-5y%29%2Ax+=+%282-4y%29+
x-+5xy+=+2+-+4y

Get all the y terms on the left side, by adding +4y to each side:
x-5xy+%2B+4y+=+2+-4y+%2B+4y
x+-+5xy+%2B+4y+=+2+

Get all NON-y terms to the right side by subtracting x from each side:
x+-x+-+5xy+%2B+4y+=+2+-+x
-5xy+%2B+4y+=+2+-+x

To get the y in one place, factor out the y:
y%28-5x+%2B+4%29+=+2-x+

Divide both sides by (-5x + 4):

%28y%28-5x%2B+4%29%29%2F%28-5x+%2B+4%29+=+%282+-+x%29%2F%28-5x+%2B+4%29+

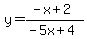
+y+=+%282-x%29+%2F%28-5x+%2B+4%29

There are several ways to write this that might be even better:
y+=+%28-x%2B+2%29+%2F%28-5x%2B4%29 or multiply numerator and denominator by -1:
y+=+%28x-2%29%2F%285x-4%29 This would be the preferred answer!!

R^2 at SCC