SOLUTION: Use Demoivre's theorem to prove that tan4x=((4tanx-3tan^(2)x))/(1-6tan^(2)x+tan^(4)x)

Algebra ->  Complex Numbers Imaginary Numbers Solvers and Lesson -> SOLUTION: Use Demoivre's theorem to prove that tan4x=((4tanx-3tan^(2)x))/(1-6tan^(2)x+tan^(4)x)      Log On


   



Question 1169171: Use Demoivre's theorem to prove that tan4x=((4tanx-3tan^(2)x))/(1-6tan^(2)x+tan^(4)x)
Answer by AnlytcPhil(1807) About Me  (Show Source):
You can put this solution on YOUR website!
Is this what you mean?



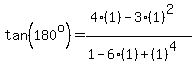
If so, then this is not an identity.  For let x = 45°



tan%28180%5Eo%29+=+%284%281%29+-+3%281%29%5E2%29%2F%281+-+6%281%29+%2B+%281%29%5E4%29

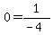
0+=+%284+-+3%29%2F%281+-+6+%2B+1%29

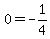
0+=+1%2F%28-4%29

0=-1%2F4

That's false, so the equation is not an identity so we can't prove
what's false is true!

Edwin