SOLUTION: The complex numbers z1, z2 and z3 are represented in the complex plane by the points P, Q and R respectively. If the line segments PQ and PR have the same length and are perpendicu

Algebra ->  Complex Numbers Imaginary Numbers Solvers and Lesson -> SOLUTION: The complex numbers z1, z2 and z3 are represented in the complex plane by the points P, Q and R respectively. If the line segments PQ and PR have the same length and are perpendicu      Log On


   



Question 1166456: The complex numbers z1, z2 and z3 are represented in the complex plane by the points P, Q and R respectively. If the line segments PQ and PR have the same length and are perpendicular to one another, prove:
2%28z1%29%5E2+%2B+%28z2%29%5E2+%2B+%28z3%29%5E2 = 2z1%28z2%2Bz3%29

I've tried multiplying the modulus of PQ and PR together, and the answer I get is close but not quite right.
Help?

Answer by math_helper(2461) About Me  (Show Source):
You can put this solution on YOUR website!


Assume P,Q,and R are oriented in an arbitrary way WRT a set of coordinate axes (but the points obey the constraints given by the problem statement).


Now rotate and translate a set of coordinate axes (WLOG) such that Q is at the origin 0%2B0i, P is at a%5B1%5D%2Bb%5B1%5Di and R is at a%5B3%5D+%2B+0i:





Then you get:
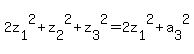
LHS = 2z%5B1%5D%5E2%2Bz%5B2%5D%5E2%2Bz%5B3%5D%5E2+=+2z%5B1%5D%5E2+%2B+a%5B3%5D%5E2+
RHS =

Apply Pythagorean Theorem +abs%28PQ%29%5E2+%2B+abs%28PR%29%5E2+=+abs%28QR%29%5E2+:

+%28a%5B1%5D-a%5B3%5D%29%5E2%2Bb%5B1%5D%5E2%2Ba%5B1%5D%5E2%2Bb%5B1%5D%5E2+=+a%5B3%5D%5E2+
...
2%28a%5B1%5D%5E2+%2B+b%5B1%5D%5E2%29+=+2a%5B1%5Da%5B3%5D+


Note that a%5B3%5D+=+2a%5B1%5D so the LHS becomes: 2z%5B1%5D%5E2+%2B+a%5B3%5D%5E2+=+2z%5B1%5D%5E2+%2B+4a%5B1%5D%5E2+



and using the Pythagorean result, the RHS becomes:



Drop a perpendicular from P to the x-axis, the height of P from the x-axis and horizontal distance from origin are the same, these are also b%5B1%5D+ and a%5B1%5D respectively. Thus, we have shown a%5B1%5D+=+b%5B1%5D.


Siince a%5B1%5D+=+b%5B1%5D the proof is complete.
Undoing the translation and rotation of the coordinate axes back to whatever the 'original' position was changes nothing (but the algebra is more complicated in that orientation).