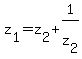
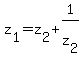
SOLUTION: The complex numbers {{{ z[1] }}} and {{{ z[2] }}} are connected by the relation
{{{ z[1] = z[2] + 1/z[2] }}}
If the point representing {{{ z[2] }}} in the Argand diagram describe
Question 1161851: The complex numbers and are connected by the relation
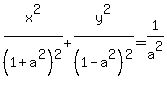
If the point representing in the Argand diagram describes a circle of radius and centre at the origin, show that the point representing describes the ellipse Answer by KMST(5328) (Show Source):