SOLUTION: Prove that {{{ (-1+i*sqrt(3))^n + (-1-i*sqrt(3))^n }}} has either the value {{{ 2^(n+1) }}} or the value {{{ - 2^n }}} if n is any integer (positive, negative or zero).

Algebra ->  Complex Numbers Imaginary Numbers Solvers and Lesson -> SOLUTION: Prove that {{{ (-1+i*sqrt(3))^n + (-1-i*sqrt(3))^n }}} has either the value {{{ 2^(n+1) }}} or the value {{{ - 2^n }}} if n is any integer (positive, negative or zero).      Log On


   



Question 1161849: Prove that
+%28-1%2Bi%2Asqrt%283%29%29%5En+%2B+%28-1-i%2Asqrt%283%29%29%5En+
has either the value +2%5E%28n%2B1%29+ or the value +-+2%5En+ if n is any integer (positive, negative or zero).

Answer by greenestamps(13200) About Me  (Show Source):
You can put this solution on YOUR website!


-1%2Bi%2Asqrt%283%29+=+2%28cos%282pi%2F3%29%2Bi%2Asin%282pi%2F3%29%29
-1-i%2Asqrt%283%29+=+2%28cos%28-2pi%2F3%29%2Bi%2Asin%28-2pi%2F3%29%29

Because cosine is an even function and sine is an odd function,

-1-i%2Asqrt%283%29+=+2%28cos%282pi%2F3%29-i%2Asin%282pi%2F3%29%29

Then

%28-1%2Bi%2Asqrt%283%29%29%5En+%2B+%28-1-i%2Asqrt%283%29%29%5En

is equal to



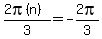
The terms in sine cancel, leaving



If n is a multiple of 3, then 2pi%28n%29%2F3+=+0, cos%280%29+=+1, and the value of the expression is %282%5E%28n%2B1%29%29%281%29+=+2%5E%28n%2B1%29

If the integer n is not a multiple of 3, then 2pi%28n%29%2F3+=+2pi%2F3 or 2pi%28n%29%2F3+=+-2pi%2F3, cos%282pi%2F3%29+=+cos%28-2pi%2F3%29+=+-1%2F2, and the value of the expression is %282%5E%28n%2B1%29%29%28-1%2F2%29+=+-2%5En