SOLUTION: Can someone please help. Simplify the expression so that it is in the form (a + bi). 2/3-{ { {sqrt ( -1 ) } } } / { { { sqrt( -4 ) } } } + 1/2

Algebra ->  Complex Numbers Imaginary Numbers Solvers and Lesson -> SOLUTION: Can someone please help. Simplify the expression so that it is in the form (a + bi). 2/3-{ { {sqrt ( -1 ) } } } / { { { sqrt( -4 ) } } } + 1/2       Log On


   



Question 1133897: Can someone please help. Simplify the expression so that it is in the form (a + bi).
2/3-{ { {sqrt ( -1 ) } } } / { { { sqrt( -4 ) } } } + 1/2

Found 4 solutions by Boreal, MathLover1, MathTherapy, greenestamps:
Answer by Boreal(15235) About Me  (Show Source):
You can put this solution on YOUR website!
From how it appears, this is (2/3)-i/(2i+1/2)
rewrite as (2/3)-i/((1/2)+2i)
multiply top and bottom by conjugate ((1/2)- 2i)
numerator is ((2/3)+i)((1/2-2i)=(1/3)-(4/3)i+(1/2)i-2i^2=(1/3)-(5/6)i+2 or (7/3)-(5/6)i
denominator is (1/4)+4 or 17/4
This is [4(7/3)-(10/3)i]/17

Answer by MathLover1(20850) About Me  (Show Source):
You can put this solution on YOUR website!
in the form a+%2B+bi:

%282%2F3-sqrt%28-1%29%29%2F%28sqrt%28-4%29+%2B+1%2F2%29.......sqrt%28-1%29=i,sqrt%28-4%29=2i

%282%2F3-i%29+%2F+%282i+%2B+1%2F2%29

%28%282-3i%29%2F3%29+%2F+%28%284i+%2B+1%29%2F2%29

2%282-3i%29+%2F+3%284i+%2B+1%29

%284-12i%29+%2F+%2812i+%2B+3%29-> both numerator and denominator multiply by %2812i+-+3%29

%28%284-12i%29%2812i+-+3%29%29+%2F+%28%2812i+%2B+3%29%2812i+-+3%29%29

%284%2A12i+-+3%2A4-12i%2A12i%2B12i%2A3%29+%2F+%28%2812i%29%5E2+-+3%5E2%29

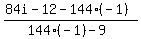
%2848i+-+12-144i%5E2%2B36i%29+%2F+%28144i%5E2+-+9%29....->... i%5E2=-1

%2884i+-+12-144%28-1%29%29+%2F+%28144%28-1%29+-+9%29

%2884i+-+12%2B144%29+%2F+%28-144+-+9%29

%2884i+%2B132%29+%2F+%28-153%29

+132%2F+%28-153%29%2B84i+%2F+%28-153%29

+-44%2F51-28i+%2F51

Answer by MathTherapy(10555) About Me  (Show Source):
You can put this solution on YOUR website!

Can someone please help. Simplify the expression so that it is in the form (a + bi).
2/3-{ { {sqrt ( -1 ) } } } / { { { sqrt( -4 ) } } } + 1/2
%282%2F3+-+sqrt%28-+1%29%29%2F%28sqrt%28-+4%29+%2B+1%2F2%29
%282%2F3+-+i%29%2F%282i+%2B+1%2F2%29 ------ Substituting matrix%281%2C3%2C+i%2C+for%2C+-+1%29
%28%282+-+3i%29%2F3%29%2F%28%284i+%2B+1%29%2F2%29 ======> matrix%281%2C3%2C+%282+-+3i%29%2F3%2C+%22%2A%22%2C+2%2F%284i+%2B+1%29%29 =======> 2%282+-+3i%29%2F3%281+%2B+4i%29
2%282+-+3i%29%281+-+4i%29%2F3%281+%2B+4i%29%281+-+4i%29 ------ Multiplying numerator and denominator by the conjugate of 1 + 4i, or by 1 - 4i
2%282+-+11i+%2B+12i%5E2%29%2F3%281+-+16i%5E2%29
2%282+-+11i+%2B+12%28-+1%29%29%2F3%281+-+16%28-+1%29%29 ------ Replacing matrix%281%2C3%2C+i%5E2%2C+with%2C+-+1%29
2%282+-+11i+-+12%29%2F3%281+%2B+16%29
2%28-+10+-+11i%29%2F3%2817%29
<======== CORRECT ANSWER

Answer by greenestamps(13203) About Me  (Show Source):
You can put this solution on YOUR website!


You have three responses, one of which contains the right answer; the other two both contain computational errors and so end up with wrong answers.

The three responses show different ways of evaluating the expression; indeed many paths are possible. The one thing that I would suggest, looking at the three responses, is to always write your complex numbers in a+bi form. Performing operations with complex numbers in bi+a form (or with some numbers in one form and others in the other form) is prone to errors.

So here is what I would do with this problem....

%282%2F3-i%29%2F%282i%2B1%2F2%29
= %282%2F3-i%29%2F%281%2F2%2B2i%29 [put the denominator in a+bi form]
= %28%282%2F3-i%29%281%2F2-2i%29%29%2F%28%281%2F2%2B2i%29%281%2F2-2i%29%29 [multiply numerator and denominator by the conjugate of the denominator]
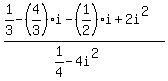
= %281%2F3-%284%2F3%29i-%281%2F2%29i%2B2i%5E2%29%2F%281%2F4-4i%5E2%29
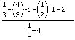
= %281%2F3-%284%2F3%29i-%281%2F2%29i-2%29%2F%281%2F4%2B4%29
= %28-5%2F3-%2811%2F6%29i%29%2F%2817%2F4%29
= %28%28-10-11i%29%2F6%29%2A%284%2F17%29
= %28-20-22i%29%2F51
= %28-20%2F51%29-%2822%2F51%29i