Question 1116154: How do I find all the values to the following?
1) i^0.25
2) (1+sqrt(3)i)^(1/3)
3) (i-1)^0.5
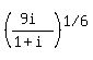
4) ((9i)/(1+i))^(1/6)
Answer by KMST(5328) (Show Source):
You can put this solution on YOUR website! The form of complex numbers is not useful for calculating products, powers, and roots.
For those purposes the polar, or trigonometric, or exponential forms are much more useful.
For example, can be written using
its absolute value or modulus, ,
and its argument such that .
We could say to keep it simple, or if you must use radians.
You can write as or as .
All you need to remember is that when multiplying complex numbers,
absolute values multiply, and arguments add up.
2) So, the solutions to 
are numbers of the form such that
.
That means that <--> ,
and is or a coterminal angle.
So, the possibilities for between and are
--> ,
--> ,
and --> .
Approximate values are
,
so we could write the answers as
 
 
 
1) The solutions to 
are four fourth roots of with
and with .
That means       .
The approximate values of sine and cosine for those angles are:

So, the four complex values of are
 ,
 
 , and
 
3) has 2 values, with
and with .
That means with , meaning or .
Approximate values for sine and cosine of those angles are
,
so we could write the answers as
 , and
 .
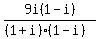
4) and ,
so their ratio can be calculated as
      
Another way to calculate that quotient is using the conjugate of the denominator:
          .
Then,
  ,
where with .
That means
    .
 .
Approximate values for sine and cosine of those angles are

So, the six complex values of are
 ,
 ,
 ,
 ,
 , and
 .
|
|
|