Question 1115576: Please help me solve the following problem
Find all the values of z such that

My attempt at a solution.
Pairing the real and imaginary parts gives
----------- (1)
and
----------- (2)
Then

since Im trying to find a value of of y such that
and
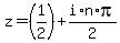
Therefore,
but the book gives the answer as so I know I'm messing up the imaginary part I'm just not sure how .
Answer by math_helper(2461) (Show Source):
You can put this solution on YOUR website! At the step sin(2y) = 0, you wrote but it is probably better to write as potential solutions. That solves eq (2), but we need to check this solution in eq (1):
In solving eq (1), let n=0: —> 
However, eq (1) must be checked for other values of n:
n=1: thus n=1 is NOT a solution for eq 1
n=2: n=2 is a solution
n=3: n=3 is NOT a solution
n=4: n=4 is a solution
The pattern is the solution to eq (1) with is only valid for even n:
Thus, the overall solution is n = 0, 2, 4, 6, ….
Which reduces to the equivalent (letting m = n/2 just to highlight this step):
m = 0,1,2,3,….
============================================
|
|
|