SOLUTION: ((4/x^2-9) + (2/x-3)) / ((1/x+3) + (1/x-3)) any help would be appreciated to simplify this problem! Thank you!

Algebra ->  Complex Numbers Imaginary Numbers Solvers and Lesson -> SOLUTION: ((4/x^2-9) + (2/x-3)) / ((1/x+3) + (1/x-3)) any help would be appreciated to simplify this problem! Thank you!      Log On


   



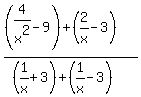
Question 1111719: ((4/x^2-9) + (2/x-3)) / ((1/x+3) + (1/x-3))
any help would be appreciated to simplify this problem! Thank you!

Answer by Alan3354(69443) About Me  (Show Source):
You can put this solution on YOUR website!
%28%284%2Fx%5E2-9%29+%2B+%282%2Fx-3%29%29+%2F+%28%281%2Fx%2B3%29+%2B+%281%2Fx-3%29%29
------
I think you mean:

---
Add the 2 terms in the DEN
=
= %28%284%2F%28x%5E2-9%29%29+%2B+%282%2F%28x-3%29%29%29+%2F+%282x%2F%28x%5E2-9%29%29
---
Add the 2 terms in the NUM
=
= %28%284%2F%28x%5E2-9%29%29+%2B+%282x%2B6%29%2F%28x%5E2-9%29%29+%2F+%282x%2F%28x%5E2-9%29%29
= %28%282x%2B10%29%2F%28x%5E2-9%29%29+%2F+%282x%2F%28x%5E2-9%29%29
Cancel the (x^2-9) terms
= %282x%2B10%29%2F%282x%29
= %28x%2B5%29%2Fx