SOLUTION: How many pairs of integers (b,c) satisfy the equation: (b+7)/(b+4)=c/9

Algebra ->  Complex Numbers Imaginary Numbers Solvers and Lesson -> SOLUTION: How many pairs of integers (b,c) satisfy the equation: (b+7)/(b+4)=c/9       Log On


   



Question 1075728: How many pairs of integers (b,c) satisfy the equation:
(b+7)/(b+4)=c/9

Answer by Edwin McCravy(20063) About Me  (Show Source):
You can put this solution on YOUR website!
%28b%2B7%29%2F%28b%2B4%29=c%2F9

9%28b%2B7%29=c%28b%2B4%29

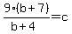
9%28b%2B7%29%2F%28b%2B4%29=c

%289b%2B63%29%2F%28b%2B4%29=c

            9
b + 4)9b + 63
      9b + 36
           27

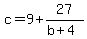
c=9%2B27%2F%28b%2B4%29

b+4 can equal any positive or negative divisor of 27.

The divisors of 27 are

1, -1, 3, -3, 9, -9, -27, 27

There are 8 of them, so the answer is 8.

That's because each one when substituted for b+4 produces 
a pair of integers that satisfies %28b%2B7%29%2F%28b%2B4%29=c%2F9

For example, say, when b+4 = -9, b = -13 and substituting
b = -13 into

%28b%2B7%29%2F%28b%2B4%29=c%2F9

gives

%28-13%2B7%29%2F%28-13%2B4%29=c%2F9

%28-6%29%2F%28-9%29=c%2F9

6%2F9=c%2F9

c=6, so the pair (b,c) = (-13,6) is a pair of integers 

that satisfies %28-6%29%2F%28-9%29=c%2F9.

So the answer is 8.

Edwin