Question 1046468: Hello,
I need help with the following math problem:
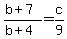
How many pairs of integers (b,c) satisfy the equation ?
Thank you,
Nicole
Answer by MathLover1(20850) (Show Source):
You can put this solution on YOUR website!
The equation 
is equivalent to
-> , after transposing 1 to the right side;
-> , after combining terms,
-> , after cross multiplying.
Since both and are supposed to be integers, there are possibilities:
1) , -> , 
2) , -> , 
3) , -> , 
4) , -> , 
5) , -> , 
6) , -> , 
7) , -> , 
8) , -> ,
Therefore there are pairs of integers that will satisfy the original equation.
|
|
|