SOLUTION: Please help me solve (12i)^1/2 to a+bi form

Algebra ->  Complex Numbers Imaginary Numbers Solvers and Lesson -> SOLUTION: Please help me solve (12i)^1/2 to a+bi form       Log On


   



Question 1043673: Please help me solve (12i)^1/2 to a+bi form

Answer by ikleyn(52915) About Me  (Show Source):
You can put this solution on YOUR website!
.
Please help me solve (12i)^1/2 to a+bi form
~~~~~~~~~~~~~~~~~~~~~~~~~~~~~~~~~

The general procedure on how to find the roots of a complex number is explained in the lesson
    - How to take a root of a complex number
in this site.

If you just are familiar with complex numbers, operations on them, complex plane, trigonometric form of complex numbers -
    - then you will be able to understand it.

If you are not familiar with this material, then you can learn on complex numbers from these lessons
    - Complex numbers and arithmetic operations on them
    - Complex plane
    - Addition and subtraction of complex numbers in complex plane
    - Multiplication and division of complex numbers in complex plane
    - Raising a complex number to an integer power
    - How to take a root of a complex number

After this introduction, let me briefly explain you how to solve your problem.

So, you need to find sqrt%2812%2Ai%29.

Write 12*i in the trigonometric form z = r%2A%28cos%28alpha%29+%2B+i%2Asin%28alpha%29%29,

where "r" is the modulus and alpha is the argument (polar angle).

In your case,  z = 12*i  in trigonometric form is z = 12%2A%28cos%28pi%2F2%29+%2B+i%2Asin%28pi%2F2%29%29, so the modulus is r = 12 and the polar angle is alpha = pi%2F2.

Now, to find the square root of this complex number, you have

  1.  to take a square root of the modulus: sqrt%28r%29 = sqrt%2812%29 = 2%2Asqrt%283%29.

  2.  to divide the argument (polar angle) by 2:  alpha%2F2 = %28%28pi%2F2%29%29%2F2 = pi%2F4.

  3.  to consider the complex number z%5B1%5D = sqrt%28r%29%2A%28cos%28alpha%2F2%29+%2B+i%2Asin%28alpha%2F2%29%29, which is in your case 

      z%5B1%5D = sqrt%2812%29%2A%28cos%28pi%2F4%29+%2B+i%2Asin%28pi%2F4%29%29 = 2%2Asqrt%283%29%2A%28sqrt%282%29%2F2+%2B+i%2Asqrt%282%29%2F2%29 = sqrt%283%29%2A%28sqrt%282%29+%2B+i%2Asqrt%282%29%29 = sqrt%286%29%2A%281+%2B+i%29%29 = sqrt%286%29+%2B+i%2Asqrt%286%29%29.

      It is one of the two complex roots.  // Notice that the modulus of z%5B1%5D is sqrt%28r%29 and the argument is alpha%2F2 = pi%2F4.

                                          // Also notice that the final expression for z%5B1%5D is just a + bi form.

  4.  to get the second root z%5B2%5D in trigonometric form, you have to use the same modulus as z%5B1%5D has, namely sqrt%28r%29,  but use another 
      argument, which this time is alpha%2F2+%2B+2pi%2F2 = alpha%2F2+%2B+pi.

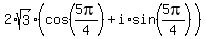
      Then your z%5B2%5D = sqrt%28r%29%2A%28cos%28alpha%2F2+%2B+pi%29+%2B+i%2Asin%28alpha%2F2+%2B+pi%29%29 = sqrt%2812%29%2A%28cos%28pi%2F4+%2B+pi%29+%2B+i%2Asin%28pi%2F4+%2B+pi%29%29 = 2%2Asqrt%283%29%2A%28cos%285pi%2F4%29+%2B+i%2Asin%285pi%2F4%29%29 = 

                     = 2%2Asqrt%283%29%2A%28%28-sqrt%282%29%2F2%29+%2B+i%2A%28-sqrt%282%29%2F2%29%29 = sqrt%283%29%2A%28-sqrt%282%29+-+i%2Asqrt%282%29%29 = -sqrt%283%29%2A%28sqrt%282%29+%2B+i%2Asqrt%282%29%29 = -sqrt%286%29%2A%281+%2B+i%29 = -sqrt%286%29+-+i%2Asqrt%286%29.

      // Notice that z%5B2%5D = -z%5B1%5D.
      // All this long way with z%5B2%5D lead us to the opposite number to z%5B1%5D.
      // But now you know all the procedure, how it works for square roots of complex numbers.
      // Surely, it may seem too complex, at the first glance.
      // But there is a powerful symmetry in it, which work nicely for all n > 2.
      // If you read the lessons I recommended you, you will be able to learn its real power and beauty.


Answer.  sqrt%2812%2Ai%29 has two values: z%5B1%5D = sqrt%286%29+%2B+i%2Asqrt%286%29%29 and z%5B2%5D = -z%5B1%5D = -sqrt%286%29+-+i%2Asqrt%286%29%29.