SOLUTION: Using logarithmic differentiation, find the derivative of F(x) = (x^2+5)^(cot2x). Write the derivative in terms of x.

Algebra ->  Complex Numbers Imaginary Numbers Solvers and Lesson -> SOLUTION: Using logarithmic differentiation, find the derivative of F(x) = (x^2+5)^(cot2x). Write the derivative in terms of x.       Log On


   



Question 1028454: Using logarithmic differentiation, find the derivative of F(x) = (x^2+5)^(cot2x). Write the derivative in terms of x.
Found 2 solutions by stanbon, robertb:
Answer by stanbon(75887) About Me  (Show Source):
You can put this solution on YOUR website!
Using logarithmic differentiation, find the derivative of
F(x) = (x^2+5)^(cot2x). Write the derivative in terms of x.
---
Rewrite::
y = (x^2+5)^(cot(2x))
----
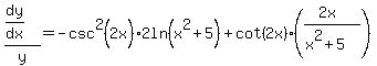
Take the log of both sides::
let y = (cot(2x))*log(x^2+5)
------
Take the derivative of both sides::
y'/y = (cot(2x))(2x) + (x^2+5)(-2csc^2(2x))
-------
y' = [(x^2+5)^cot(2x)][cot(2x)(2x)-4(x^2+5)(csc^2(2x)]
==============
Cheers,
Stan H.
---------

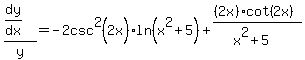
Answer by robertb(5830) About Me  (Show Source):
You can put this solution on YOUR website!
Let y+=+%28x%5E2%2B5%29%5E%28cot2x%29
==> lny+=+%28cot2x%29%2Aln%28x%5E2%2B5%29
Differentiating,

<==>
==>