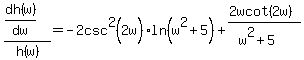
SOLUTION: Differentiate the function h(w)=((w^2)+5)^(cot(2w)) with respect to w.
Algebra
->
Complex Numbers Imaginary Numbers Solvers and Lesson
-> SOLUTION: Differentiate the function h(w)=((w^2)+5)^(cot(2w)) with respect to w.
Log On
Algebra: Complex Numbers
Section
Solvers
Solvers
Lessons
Lessons
Answers archive
Answers
Click here to see ALL problems on Complex Numbers
Question 1026904
:
Differentiate the function h(w)=((w^2)+5)^(cot(2w)) with respect to w.
Answer by
robertb(5830)
(
Show Source
):
You can
put this solution on YOUR website!
Take ln of both sides:
==>
==>
==>