SOLUTION: Please help me solve this equation: 4|7y+2|-8=-7

Algebra ->  Absolute-value -> SOLUTION: Please help me solve this equation: 4|7y+2|-8=-7       Log On


   



Question 984870: Please help me solve this equation: 4|7y+2|-8=-7

Answer by josgarithmetic(39621) About Me  (Show Source):
You can put this solution on YOUR website!
Two conditions can happen for 7y%2B2. Either it may be non-negative, or it can be negative. Solve according to BOTH cases separately.

4abs%287y%2B2%29=-7%2B8

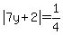
abs%287y%2B2%29=1%2F4

CASE nonneg
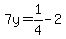
7y%2B2=1%2F4
7y=1%2F4-2
7y=-7%2F4
highlight%28y=-1%2F4%29-------this is only part of the solution.

YOU do the other case.
Check BOTH results to see if each works.