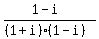
SOLUTION: 1/(1+i)
Algebra
->
Absolute-value
-> SOLUTION: 1/(1+i)
Log On
Algebra: Absolute value
Section
Solvers
Solvers
Lessons
Lessons
Answers archive
Answers
Click here to see ALL problems on absolute-value
Question 981132
:
1/(1+i)
Answer by
Alan3354(69443)
(
Show Source
):
You can
put this solution on YOUR website!
1/(1+i)
=
=