SOLUTION: please if someone help can help me ....so do help me...... if ax^2-bx=ay^2+by,then a/b= (A) 1/x-y (B)1/x+y (C)X-Y/X+Y (D)X+Y/X-Y (E)X/Y

Algebra ->  Absolute-value -> SOLUTION: please if someone help can help me ....so do help me...... if ax^2-bx=ay^2+by,then a/b= (A) 1/x-y (B)1/x+y (C)X-Y/X+Y (D)X+Y/X-Y (E)X/Y      Log On


   



Question 922825: please if someone help can help me ....so do help me......
if ax^2-bx=ay^2+by,then a/b=
(A) 1/x-y
(B)1/x+y
(C)X-Y/X+Y
(D)X+Y/X-Y
(E)X/Y

Answer by MathLover1(20850) About Me  (Show Source):
You can put this solution on YOUR website!
if ax%5E2-bx=ay%5E2%2Bby,then a%2Fb=: move terms with a to one side of equation and terms with b to the other side of equation
ax%5E2-ay%5E2=bx%2Bby.........factor out a and b

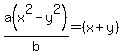
a%28x%5E2-y%5E2%29=b%28x%2By%29 ...both sides divide by b
a%28x%5E2-y%5E2%29%2Fb=b%28x%2By%29%2Fb
a%28x%5E2-y%5E2%29%2Fb=%28x%2By%29...both sides divide by %28x%5E2-y%5E2%29
a%28x%5E2-y%5E2%29%2F%28b%28x%5E2-y%5E2%29%29=%28x%2By%29%2F%28x%5E2-y%5E2%29

a%2Fb=%28x%2By%29%2F%28x%5E2-y%5E2%29...since %28x%5E2-y%5E2%29=%28x-y%29%28x%2By%29 we have

a%2Fb=%28x%2By%29%2F%28%28x-y%29%28x%2By%29%29 ...simplify

a%2Fb=cross%28%28x%2By%29%291%2F%28%28x-y%29cross%28%28x%2By%29%29%29

a%2Fb=1%2F%28x-y%29
so, your answer is: (A) 1%2F%28x-y%29