SOLUTION: SLOPE TABLE complete the table given y= 2/3x + 1 ___________ X | Y | _____|_____| 0____|_____| _____|_-2__| -3___|_____| _6___|_____|

Algebra ->  Absolute-value -> SOLUTION: SLOPE TABLE complete the table given y= 2/3x + 1 ___________ X | Y | _____|_____| 0____|_____| _____|_-2__| -3___|_____| _6___|_____|      Log On


   



Question 905970: SLOPE TABLE
complete the table given y= 2/3x + 1
___________
X | Y |
_____|_____|
0____|_____|
_____|_-2__|
-3___|_____|
_6___|_____|

Answer by MathLover1(20850) About Me  (Show Source):
You can put this solution on YOUR website!
complete the table given y=+%282%2F3%29x+%2B+1
X | Y |
_____|_____|
0____|_____|
_____|_-2__|
-3___|_____|
_6___|_____|

if x=0=>y=+%282%2F3%290+%2B+1=1
if y=-2=>-2=+%282%2F3%29x+%2B+1 =>-2-1=+%282%2F3%29x+ =>-3%2F%282%2F3%29=+x+ =>-3%2A3%2F2=+x+ =>-9%2F2=+x+
if x=-3=>y=%282%2F3%29%28-3%29%29%2B+1=-2%2B1=-1
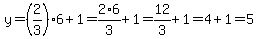
if x=6=>y=+%282%2F3%296+%2B+1=2%2A6%2F3%2B1=12%2F3%2B1=4%2B1=5
so, your table will be:

X | Y |
_____|_____|
0____|__1___|
-9/2_|_-2__|
-3___|_-1___|
_6___|__5___|