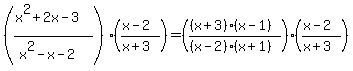
SOLUTION: multiply please x^2+2x-3/x^2-x-2 multiplied by x-2/x+3
Algebra
->
Absolute-value
-> SOLUTION: multiply please x^2+2x-3/x^2-x-2 multiplied by x-2/x+3
Log On
Algebra: Absolute value
Section
Solvers
Solvers
Lessons
Lessons
Answers archive
Answers
Click here to see ALL problems on absolute-value
Question 842910
:
multiply please
x^2+2x-3/x^2-x-2 multiplied by x-2/x+3
Answer by
Fombitz(32388)
(
Show Source
):
You can
put this solution on YOUR website!
So then,