SOLUTION: Can you solve this equation and show steps? |4x-2 divided by 5|=|6x+3 divided by 2|

Algebra ->  Absolute-value -> SOLUTION: Can you solve this equation and show steps? |4x-2 divided by 5|=|6x+3 divided by 2|      Log On


   



Question 694367: Can you solve this equation and show steps?
|4x-2 divided by 5|=|6x+3 divided by 2|

Answer by KMST(5328) About Me  (Show Source):
You can put this solution on YOUR website!
abs%28%284x-2%29%2F5%29=abs%28%286x%2B3%29%2F2%29
The expressions inside the absolute value could be equal,
or one could equal the other times %28-1%29.

If they are equal:
%284x-2%29%2F5=%286x%2B3%29%2F2 --> 2%284x-2%29=5%286x%2B3%29 (multiplying both sides of the equal sign times 10, or equating the cross-products)
2%284x-2%29=5%286x%2B3%29 --> 8x-4=30x%2B15
8x-4=30x%2B15 --> 8x-4-8x-15=30x%2B15-8x-15 --> -19=22x --> -19%2F22=22x%2F22 --> highlight%28x=-19%2F22%29

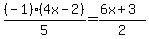
If one expression equals the other times %28-1%29:
%28-1%29%284x-2%29%2F5=%286x%2B3%29%2F2 --> %28-1%29%282%29%284x-2%29=5%286x%2B3%29 (multiplying both sides of the equal sign times 10, or equating the cross-products)
%28-1%29%282%29%284x-2%29=5%286x%2B3%29 -->
-8x%2B4=30x%2B15 --> -8x%2B4%2B8x-15=30x%2B15%2B8x-15 --> -11=38x --> -11%2F38=38x%2F38 --> highlight%28x=-11%2F38%29